This website requires JavaScript.
Explore
Help
Sign In
daviddoji
/
Fastbook_Julia
Watch
1
Star
0
Fork
0
You've already forked Fastbook_Julia
Code
Issues
Pull Requests
Packages
Projects
Releases
Wiki
Activity
Files
45c03b53beb4c9fbd385e29febb494321af6d343
Fastbook_Julia
/
images
/
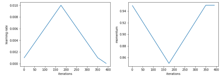
chapter4_1cycle_schedule.png
Jeremy Howard
0a3a554230
init commit
2020-02-28 11:44:06 -08:00
45 KiB
945x332px
Raw
History
Reference in New Issue
View Git Blame
Copy Permalink